
Background: Cannabis use severely affects the outcome of people with psychotic disorders, yet there is a lack of treatments. To address this, in 2019 the National Health Service (NHS) Cannabis Clinic for Psychosis (CCP) was developed to support adults suffering from psychosis to reduce and/or stop their cannabis use.
Aims: Examine outcome data from the first 46 individuals to complete the CCP’s intervention.
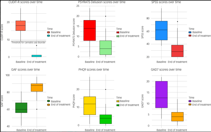
Method: The sample (N = 46) consisted of adults (aged ≥ 18) with psychosis under the care of the South London and Maudsley NHS Foundation Trust, referred to the CCP between January 2020 and February 2023, who completed their intervention by September 2023. Clinical and functional measures were collected before (T0) and after (T1) the CCP intervention (one-to-one sessions and peer group attendance). Primary outcomes were changes in the Cannabis Use Disorders Identification Test-Revised (CUDIT-R) score and pattern of cannabis use. Secondary outcomes included T0–T1 changes in measures of delusions, paranoia, depression, anxiety and functioning.
Results: A reduction in the mean CUDIT-R score was observed between T0 (mean difference = 17.10, 95% CI = 15.54–18.67) and T1, with 73.91% of participants achieving abstinence and 26.09% reducing the frequency and potency of their use. Significant improvements in all clinical and functional outcomes were observed, with 90.70% being in work or education at T1 compared with 8.70% at T0. The variance in CUDIT-R scores explained between 34 and 64% of the variance in our secondary measures.
Conclusions: ‘Now, with the clinic I am looking at life in a whole different way, my brain is starting to work again, I am doing an apprenticeship. It has changed my life.’ – Intervention participant
The CCP intervention is a feasible strategy to support cannabis use cessation/reduction and improve clinical and functional outcomes of people with psychotic disorders. Our data evidence the reversibility of cannabis’s negative impact on psychosis prognosis if use changes. Moreover, our findings strongly suggest that young adults suffering from psychotic disorders who stop or significantly reduce their pattern of cannabis use are more likely to become socially active. Therefore, at a time when changes in the legal status of cannabis might increase accessibility to cannabis and its potent types, it is important to develop services like the CCP that provide young adults with psychosis with the knowledge and support needed to prevent and/or reverse the negative impact that cannabis use can have on their illness course and their family, as well as mental health services.
Read more on A proof-of-concept analysis of data from the first NHS clinic for young adults with comorbid cannabis use and psychotic disorders via Cambridge University Press.
